4008-508-928

基于地物光谱反射率诊断小麦水分状况的应用

发表时间:2022-05-11 10:26
植物水分状况的指标只能从作物本身的测定中得到。植物的生长发育直接受叶片水分状况的影响,间接地受土壤水分等因素的影响。植物水分亏缺诊断方法有多种,比较好的是以作物活体为测定对象的气孔导度、叶水势、冠层温度和蒸腾速率等指标,但仍存在一些尚待解决的问题如指标受土壤水分、大气条件和内部生理条件等多种因素的影响。
自1963年Tanner提出以冠层温度指示植物水分亏缺以来,冠层温度法成为诊断作物水分状况的一个重要手段,30多年来,相继提出冠层温度变异法、参考温度法、冠层气温差(SDD)和作物缺水指标法(CWSI)等。但这类诊断方法受环境的强烈影响,温度差不足以说明作物水分状况在时间和空间上随环境的巨大变化。本研究从地物光谱反射率着手,探索分析诊断作物缺水状况的可行性。
图片
此前一些学者虽提出植被在970,1450和1900nm附近的光谱反射率吸收峰反映着植物的水分状况,并进行了初步的实验研究,如Jackson研究了棉花水分胁迫的光谱响应,指出作物的水分胁迫状况能够在光谱反射率数据中有体现;Penuelas等人指出可用R970nm/R900nm作为水分指数监测小麦的水分状况;Michio等人研究表明960nm处的导数光谱可用来监测水稻的水分亏缺状况。
但是,应用作物光谱反射特征吸收峰定量测定作物水分含量,进而诊断作物水分状况的方法至今未见报道,地物光谱反射率吸收峰的归一化定量描述技术使本研究成功地建立了小麦叶片水分含量与1450nm附近水的反射率特征吸收峰深度和面积的定量线性回归模型,并利用地物光谱反射率来诊断作物缺水状况成为可能。

1 材料和方法

(i)样品采集:冬小麦挑旗后,从小麦底部到上部随机采集小麦叶片样品110个(包括绿色功能叶、衰老叶和半衰老叶),迅速保湿,送实验室进行光谱反射率测量和水分含量测定。
(ii)光谱测量:在两台500w溴钨灯光照射下,用地物光谱仪ATP9110-25H,对小麦叶片进行光谱测量。实验设定5°视场,探测器头部垂直对准样品,距离约10cm,保证探测面积直径约1cm,叶片充满探测视场。对一条光谱曲线的扫描时间设定为5s,每个叶片光谱测量重复4次,进行平均。每个叶片光谱测量后,迅速用电子天平称重。样品采集到光谱测量间隔约20min,光谱测量到重量测定间隔不超过30s,保证光谱测量值能真实地反映叶片活体时的状态,及光谱反射率与其水分含量间的准确对应关系。
(ⅲ)相对水分含量的计算。叶片的相对水分含量(RWC)根据以下公式计算:

RWC=(FW-DW)/FW               (1)

其中FW为鲜重,DW为干重

2 数据处理、分析及结果

2.1 光谱吸收特征峰的选择

小麦叶片水分含量占其重量的40%~80%,它对叶片光谱反射率的影响比其他生理参数大得多。在植被叶子反射光谱区,1450nm附近的光谱反射率吸收峰仅反映叶片水分的吸收作用,而970,1200,1900nm等处的光谱反射率吸收峰,还受其他因素影响,如淀粉、蛋白质、氮等;同时1900nm处的光谱反射量测值也容易带有噪音。本研究选择了1450nm附近小麦叶片水分的吸收特征峰。

2.2 光谱吸收特征峰的归一化定量分析

对光谱反射率曲线进行平均、噪声去除等预处理。用归一化技术(也称作外壳系数法)对1450nm附近的小麦叶片水分的光谱特征吸收峰进行计算并定量表达其光谱特征峰参量吸收峰的位置、深度、面积、对称性,如图1。其求解过程如下:

图片

图1 小麦叶片光谱特征吸收峰归一化定量分析示意图

(a)包络线(虚线),(b)比值反射率(箭头线为深度,阴影为面积)

根据反射率值的大小和整个谱线的斜率,找出光谱曲线的各极大值点,用包络线(外壳系数)将它们依次连接起来,定义为100%;线对原光谱曲线进行归一化处理,即:计算每个光谱通道上实际反射率与包络线反射率(100%)的比值,求得比值反射率。波长位置(WAV)是比值反射率的特征吸收峰对应的波长,深度(DEPTH)是特征吸收峰的极小值点相对100%线的距离,面积(AREA)是指特征吸收峰深度--半处吸收峰宽度与深度的乘积,对称性(ASYM)是特征吸收峰左边的一半面积与右边的一半面积的比值。

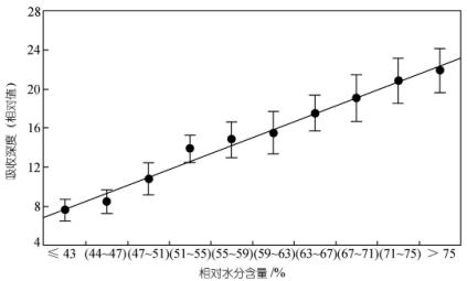
2.3 小麦叶片水分含与1450nm处光谱吸收特征峰的网归关系

用小麦叶片的110个相对水分含量与相应的1450nm处光谱吸收特征峰深度和面积分别

建立线性回归方程(如图2,3):

图片

图2 相对水分含量与吸收峰深度相关关系

●示均值,工示均值±标准差

图片

图3 相对水分含量与吸收峰面积相关关系

●示均值,工示均值±标准差

图片

其中y1,y2为相对水分含量,x1,x2分别为吸收峰的深度和面积。
对(2)和(3)式的回归关系进行F检验和相应的回归参数的置信区间估计:
对(2)式测算,F=239.56>F0。01=6.90,可靠度为95%的截距置信区间为[9.908,18.492],回归系数的置信区间[1.589,2.071],复相关系数为0.845。
对(3)式测算,F=256.593>F0.01=6.90,可靠度为95%的械距置信区问为[20.707,28.291],回归系数的置信区问为[5.309,8.951],复相关系数为0.858。

由此表明,小麦叶片相对水分含量与该吸收特征峰的深度和面积都呈显著线性回归关系。

2.4 结果验证

从小麦大田中取6片结构完整的旗叶,放人清水浸泡约1h,直至叶片吸水基本达到饱和,从水中取出叶片,去掉叶片表面游离水。用500W溴钨灯垂直照射,对小麦叶片进行水分胁迫。灯与样品的距离为30cm,光照时间依次为0,2,4,6,8,10,12,20,25min,共9个处理。叶片经水分胁迫后,用方法(ii)对叶片进行光谱测量,用方法(i)实测其相对水分含量(RWC)。依照2.2小节中方法,对叶片在1450nm处的光谱吸收特征峰进行光谱归一化定量分析,按照2.3小节中(2)和(3)式回归方程分别计算相应1450nm处光谱吸收峰深度和面积的相对水分含量y1,y2,由此,可得到54组叶片的相对水含量实测值和相应的计算值(见表1)。

图片

表1小麦叶片相对水含量的实测值与计算值的比较

表1中的Δ1和Δ2表示计算值与实测值间的相对误差值,即:

图片

表1中RWC与y1(或y2)是在同一供试叶片上进行叶片水分含量测定而获得的成对比较数据,为测验两个样本所属平均数有无显著差异,采用了成对数据比较,并对其进行两尾测验。假定两种叶片水分含量测定方法测得的含水量没有显著性差异,即:H0:μd=0;对HA:μd≠0。显著水平α=0.05。经测验计算得:t1=1.1335(t2=0.4516),查t值表,自由度v=54-1=53时,t检验表明这几组正态分布的数组间无显著差异,可见用1450nm处的光谱反射率诊断小麦水分状况是可行的。

3 结论

(1)图表分析表明,小麦叶片含水量与1450nm处的光谱吸收特征峰深度和面积具有良好的线性回归关系,说明利用地物光谱仪直接测量小麦叶片光谱,从而对小麦水分含量进行活体测定是可能的,且方便快捷,节时省力。本研究不涉及小麦冠层光谱及相应的小麦叶片与土壤的光谱的混合问题。
(2)光谱归一化定量分析技术是建立小麦叶片含水量与光谱特征峰深度和面积线性回归关系的关键。该技术方法适用于其他地物(如岩石、土壤等)光谱,也可用于其他谱线特征峰的定量描述研究。

图片

(3)地物光谱仪测量一定时问后,随光电技术元件温度的提高,光谱响应函数有所改变,因此,连续测量时,隔半小时需对光谱仪进行初始化,而初始化前后的同一样品的光谱数据有微小变化;叶片水分含量的测定与其光谱测量只能做到准同步,即用电子天平称重后再进行光谱测量时,叶片水分有所丢失,且叶片的水分含量测定也会带来一定的误差,由此可能造成回归关系式的截距偏大;对应图2和3的数据分析,由于本研究缺少同一水平样品的多次重复数据,以相对水分含量相差4%的邻近样品进行统计分析,将造成计算的标准差偏大。另外,本研究所选样品的水分含量介于40%~80%之间,如要在小于40%或大于40%的区间外延,**再进行佐证。
(4)研究方法基于小麦叶片的反射率进而推算其水分含量。叶片的反射率主要随叶片的生化组分而变化,受环境影响小,而且测试操作简便,实时性和实用性强。
(5)在实验室内溴钨灯下测量小麦叶片光谱反射率,主要是为了光谮测量后能迅速地用电子天平测定小麦叶片的水分含量,以保证叶片含水量与光谱反射率间准确的对应关系。如果天气晴朗,能见度比较高,大气比较干燥,有些信噪比较高的新型地物光谱仪可在野外太阳光下很好地测量1450nm处的小麦叶片水分的光谱吸收特征峰,并进一步计算小麦含水量,诊断小麦水分状况。也可考虑利用内置光源地物光谱仪,如澳大利亚的PIMA,从而解决天气状况不好、又要求在野外阳光下实时、实地测量的问题。

综合以上研究结果、分析和讨论,可考虑将地物光谱仪进行改造,建立一种新型小麦含水量活体测定技术,有望达到野外实时、实地、全天候、大面积快速测量的目的。如仅考虑用1450nm小麦水的吸收特征峰,可考虑仅用一个宽波段,将地物光谱仪改进为内光源设置,并将光谱吸收特征参量的归一化定量分析技术和本研究结果编程为一个处理程序,或采用软件固化技术,更便于及时处理和分析。



4008-508-928
QQ咨询
文章列表
紫外-可见-近红外分光光度计(UV-Vis-NIR),其扫描波段覆盖紫外光、可见光、近红外光区域,利用物质分子对紫外光、可见光、近红外光的吸收特性来进行定量、定性分析,在科研实验室以及工业领域是常见仪器之一。
前言:为什么物质有颜色?物质在光源 (如大阳光)提供的能量作用下,构成物质元素的原子中的电子,发生了以基态到激发态,又以激发态回到基态的跃迁,导致物质选择性地吸收或发射相应特定的光波,从而显示其特有的颜色。例如:大多数金属显银白色,是因为金属的能带上部存在大量的空轨道,并且相邻轨道之间的能量差值非常小。因此,任何波长的光子进入金属表面时,都能将金属内部的自由电子激发到能带上部的空轨道上,但电...
    锂离子电池是一种高性能、轻便且可重复充电的电池技术,因其高能量密度而备受青睐,广泛应用于便携式电子设备和电动汽车等移动能源领域。随着对能源存储需求的不断增加,锂离子电池的性能优化和安全性成为研究的热点。在锂离子电池研究中,显微拉曼光谱仪已经成为一种强大的工具,它可以提供关于电池内部结构、化学成分和动力学过程的详细信息。本文将介绍显微拉曼光谱仪在锂离子电池研究中的应用,探讨其在电极材...
在生活和工业生产中,无论是原料还是半成品、成品,都含有一定的水,比如酒糟、粮食、烟草等。一定的含水量对物质保持形态、性状等具有重要意义。例如在食品领域,食品中的含水率高低会影响到食品的腐败和发霉,同时食品中的含水率高低对食品的鲜度、硬软性、流动性、呈味性等多方面有着重要的关系。常规的含水率烘干法存在测量时间比较长,测量比较繁琐。利用水分在近红处有吸收的原理进行含水率的测量是一种快速而简单的方...
研究相近产地大米的快速准确无损鉴别的方法能为鉴别地理标识大米提供理论和技术支持。拉曼光谱通过物质内部分子对可见单色光的散射强度.....
自1928年Raman现拉曼效应以来,拉曼光谱就成为检测分析物质结构的重要手段。拉曼光谱技术是一种检测分子振动以表征样品潜在化学结构的光谱技术。拉曼光谱技术广泛应用于检测固体和液体材料的化学成分,它可利用物质的光谱“指纹”信息,区分各种物质...
石墨烯被誉为“黑金”,轻得像空气,却又硬得像钢铁......
拉曼光谱在石墨烯的层数表征方面具有独特的优势......
【实测】奥谱天成手持拉曼ATR6600和显微拉曼光谱仪ATR8300-532/633
拉曼光谱仪在制药的各个环节中都具有巨大的应用潜力,如:原料筛查;过程监控,包括反应、晶化、配药、干燥、混合等;晶型识别;有效成分和赋形剂的表征等... ...
超微量分光光度计本身就是一类很重要的分析仪器,无论是物理学、化学、生物学、医学、材料学、环境学等科学研究领域,还是在化工、医药、环境检测、冶金等现代生产与管理部门都有很重要的应用。超微量分光光度计奥谱天成的全波长(190~1000 nm)超...
3#样品,无颜色区域,强度相对于有颜色即有膜... ...
4#样品,红色区域强度比淡黄色区域强度... ...
5#样品... ...
拉曼光谱技术是一种非接触,无损的快速检测技术,能方便地给出物质的结构、组分等指纹信息,并且能从分子层面上识别各类物质及晶型结构,非常适合用于制药过程及药品检测。
激光拉曼光谱是一种振动光谱技术,通过分子振动引发的拉曼效应,可以对钻探设备的油气特征进行很好地识别,以分辨故障...
寻求一门新的高科技 手段应用到森林资源监测、森林防火及林业执法中,已成为林业管理的一项迫在眉睫、亟待解决的重大课题
利用高光谱特性可以识别不同染病期的松木监测。并且与无人机进行结合,可以实现高效大面积森林的高效监测...
借助无人机高光谱手段,不仅可以对城市绿地进行提取,而且可以进一步分析植被的健康程度、病虫害以及含水量或易燃风险等等...
拉曼光谱具有准确、无损、非接触的快速检测技术被应用于各行各业中...
利用无人机在高空巡航和遥控地面端人工识别的的手段,可实现大面积水体的蓝藻遥感探测,为水质分析和水体环境保护提供技术支撑...
利用无人机在高空巡航和遥控地面端人工识别的的手段,可以克服传统的人工踏勘费时、费力......
文章列表
在苹果品质检测中,硬度是衡量口感与成熟度的重要指标。传统检测方法依赖人工穿刺,不仅效率低、损伤果实,更难以实现大规模、标准化检测。  如今,随着光谱技术的快速发展,无损、快速、高精度的苹果硬度检测已成为现实。近期一项研究中,研究人员采用奥谱天成ATP2000H微型光纤光谱仪,成功实现了对苹果硬度的快速、无损、高精度预测。可靠数据采集:ATP2000H奠定研究基础该研究选取了富士、嘎拉和金冠三...
2025-11-11
在水处理与环境污染控制领域,高级氧化技术因其高效降解有机污染物的能力而备受关注。近年来,二维MBene材料作为MXene的硼类似物,展现出优异的催化性能,尤其在过一硫酸盐(PMS)活化过程中表现**。  在一项已发表的研究工作中,研究人员成功构建了Co-MoAl₁₋ₓB/PMS催化体系,实现了对典型抗生素奥硝唑(ONZ)的高效降解。在研究中,采用奥谱天成ATP5020R-RM拉曼光谱仪对降解...
2025-11-03
钙钛矿量子点(CsPbBr₃)因其色纯度高、发光效率好,是下一代显示技术的核心材料。然而,其本征稳定性差,易受水、氧、光、热的影响,严重制约了商业化应用。原子层沉积(ALD)技术原子层沉积(ALD)技术通过表面自限制反应实现纳米级薄膜沉积,为钙钛矿量子点提供致密的无机保护层,是提升其环境稳定性的有效方案。在产业化应用中,ALD技术可显著增强量子点色转换层在显示器件中的长期工作寿命,为Micr...
2025-10-31
如何快速、精准地判断葡萄的内在品质,是果农与酿酒师长期面临的挑战。传统检测方法依赖单一指标且过程繁琐,而综合品质的评估更是困难。伴随光谱技术的快速发展,可见-近红外光谱技术在种植行业得以应用。研究人员将可见-近红外光谱技术与综合品质指数(AQI)相结合,通过奥谱天成ATP3030光谱仪,实现了对葡萄品质的无损、快速评估。从单一指标到综合评估的技术突破葡萄的品质由糖度、酸度、色泽、酚类物质等多...
2025-10-29
想象一下,你有一副神奇的眼镜。戴上它,你不仅能看清一个人的外表,还能一眼看穿他是饿了、病了,还是缺水了。奥谱天成ATH9010系列高光谱相机,就是给农业科学家和农民们配的这样一副“超级眼镜”。试想,你有一副特殊眼镜。佩戴后,你不仅能清晰观察人的外貌,还能一眼判断出其饥饿、患病或缺水状态。奥谱天成 ATH9010 系列高光谱相机,正是为农业科研人员与农民配备的 “专业级超级眼镜”。它为何如此 ...
2025-10-28
在追求高效、清洁燃烧技术的今天,科学家和工程师们面临着一个核心挑战:如何精准地“看见”并理解火焰内部瞬息万变的化学反应?火焰的颜色、形态背后,隐藏着组分、温度、反应路径乃至污染物生成的奥秘。对火焰“指纹”进行光谱分析具备重要意义。前沿应用:从零碳燃料到超低污染燃烧在多项研究中,研究团队致力于通过解析火焰燃烧光谱来把控燃烧进程,改进燃料组分,减少污染物产生。而在各项关键研究中,奥谱天成的ATP...
2025-10-24
项目概括项目名称:盐源县 2024 年重点流域农业面源污染项目项目需求:泸沽湖面源污染在线监测系统,开展多指标水质监测,守护泸沽湖水质,维系高原湖泊脆弱生态平衡,最终实现面源污染精细化管控与流域水资源可持续管理。项目介绍:盐源县 2024 年重点流域农业面源污染项目 - 泸沽湖面源污染在线监测系统及管理平台采购项目,旨在通过建设在线监测系统及管理平台,实现对泸沽湖流域农业面源污染的有效监测与...
2025-10-09
基于先进光谱技术采用紫外 - 可见光全光谱技术,可获取水体中不同物质在紫外和可见光区域的完整吸收光谱信息,从而实现对多种水质指标的同时检测,如COD、TOC、总磷、总氮、氨氮等十余项指标,大大提高了监测效率。无需化学试剂传统的水质监测方法往往需要使用各种化学试剂,而ATE2000免试剂全光谱水质监测仪实现了无试剂检测,避免了试剂的购置、更换以及可能造成的二次污染等问题,降低了运行成本,同时也...
2025-10-10
应用方向:快速监测谷物品质参数在粮食产业链中,水分、蛋白质、直链淀粉、脂肪酸等指标直接关系到谷物的加工品质与营养价值。传统检测方式往往需要繁琐的样品制备与实验步骤,耗时长、效率低,不仅影响收粮和出粮的节奏,还容易因检测滞后带来品质判断误差,增加企业的经营风险。客户迫切需要一种快速、稳定、精准的检测工具,以应对大批量样品检测和高频检测的需求。近日,IR2300近红外谷物分析仪在某地粮食质检中心...
2025-08-21
应用方向:进行酒糟的水分测量,控制发酵工艺在酒类生产中,酒糟的含水率是影响发酵效率与产品品质的关键参数。传统接触式检测方式不仅检测效率低、无法实现连续在线监测,还容易造成样品破坏,影响原料品质。同时,检测数据存在延迟,无法及时反馈到生产控制环节,导致工艺调整滞后,从而影响酒香与产量。GY1000在线非接触式红外水分测定仪,采用非接触式、非破坏性的实时动态检测模式,解决了传统检测的效率瓶颈与样...
2025-08-15
什么是无人机高光谱?简单来说,无人机高光谱就是把高光谱成像仪装在无人机上,让它飞到空中采集地面或作物的光谱信息。它结合了两部分技术:无人机平台 —— 提供低空机动飞行能力,能快速覆盖大面积区域,灵活拍摄不同角度和高度。高光谱成像技术 —— 将连续的光谱信息分成几十到几百个窄波段(如400–1000nm可见光+近红外,甚至延伸到2500nm短波红外),每个像素点都有一条完整的光谱曲线,就像给地...
2025-08-14
用户单位:徐州高新技术产业开发区行政综合执法大队应用方向:甲烷泄露报警、远端燃气监测平台预警城市燃气系统管网密布、穿井而行,长期以来存在检测盲区多、响应速度慢、误报率高等问题。传统人工巡检方式效率低下,且面对复杂天气、夜间运行等情况时可靠性不足;而部分常规监测设备则容易受到粉尘、水汽等干扰,造成误报或漏报,难以满足“多点布设、高频巡检、全天候运行”的智慧监管需求。徐州高新区燃气安全智慧化平台...
2025-08-11
用户单位:大唐万宁天然气发电有限公司应用方向:燃气泄漏监测随着天然气发电的广泛推广,燃机区域、调压站、启动锅炉等重点作业区的安全风险也在持续上升。尤其在高温、高压、高燃气浓度的运行环境中,一旦发生泄漏,可能引发不可控的事故。传统人工巡检模式不仅响应滞后、存在盲区,还极大依赖人员经验,难以支撑企业对本质安全管理的高标准需求。在此背景下,客户对燃气安全监测提出更高要求,需要具备远距离、高灵敏、自...
2025-08-06
01研究背景化学需氧量(COD)和浊度(TURB)分别代表水体中还原性有机物和悬浊物的含量,是水质污染的重要监测指标。光谱分析方法响应灵敏、分析速度快、重复性好,其中紫外光谱法因其检测原理成熟,可以间接反映水中有机物、悬浮物等理化参数 ,从而受到广泛关注应用。在实际检测中,浊度散射会对 COD 的紫外吸收光谱造成严重干扰,从而影响光谱法检测精度;针对紫外光谱法同步检测化学需氧量(COD)和浊...
2025-03-13
01背景介绍近几十年来,中国通过大力发展家禽养殖业,并推动蛋鸡产业从传统的家庭散养模式向现代化孵化工厂企业管理模式转型,已经成为全球重要的鸡蛋生产、消费和出口大国。蛋鸡产业以母鸡养殖为主,而公鸡因无法产蛋且肉质不佳、经济价值低,通常在出生后即被挑拣出来宰杀。在自然孵化状态下,公鸡约占孵出小鸡总数的一半,因此,宰杀一日龄公鸡不仅造成了禽蛋资源的高质低用,带来了巨大的资源浪费,同时也违背了动物福...
2025-02-06
一.前言小麦作为世界三大粮食作物之一,是全球40%人口的主食来源。小麦作为我国主要的粮食作物之一,种植范围十分广泛。专用品种小麦的生长状况对我国国民经济发展方面有着重要的作用,因此对小麦长势进行高效、无损地监测,对小麦产量进行及时、准确地预测变得尤为重要。二.技术思路与主要内容奥谱天成利用全国产化的多光谱成像仪,以十个不同品种的小麦为研究对象,一方面利用多光谱相机采集的小麦扬花早、晚期的影像...
2024-03-20
紫外可见光纤光谱仪光谱仪器是光学仪器的重要组成部分,它是应用光学原理,对物质的结构和成分等进行测量、分析和处理的基本设备,具有分析精度高、测量范围大、速度快等优点,普通的光谱仪只能探测400~800nm波长的可见光波段,而在一些特殊领域,需要探测200~400nm波长的紫外光波段。目前市面上的微型紫外光谱仪多采用背向减薄式或镀膜CCD作为感光元件,价格都比较昂贵,所以本文提出了将高性价比的C...
2024-01-10
荧光分光光度法广泛应用于药材研究前言当今社会随着群众思想的转变,中药逐渐又成为了大众热点。目前中药市场鱼龙混杂,假中药、劣质药层出不穷。中药市场中药质量评价和质量控制是保证中药有效性、安全性的手段,也是一直困扰中药现代化发展的瓶颈。首先,中药的质量受多环节多因素影响。中药材种类繁多、产地分散,加上生长环境、采收季节、炮制工艺等因素,造成所含化学成分的差异。随着中医药事业的不断发展荧光分析法...
2023-12-28
紫外分光光度计对于实验室分析人员来说是最有用的分析工具之一,几乎每一个分析实验都离不开紫外分光光度计,在食品检测中也是如此,应用十分广泛。
2023-12-21
酒是世界上最常见的一种饮品,每个国家都有自己代表性的酒品。我国是世界上酿酒最早的国家之一,酒文化和制酒历史更是源远流长。中国酿酒行业品种繁多,名酒荟萃,享誉中外。白酒作为中国的国酒,主要原料为高粱、小麦、玉米等粮食,需经过选料、发酵、蒸馏、陈酿几个步骤完成,缺一不可。而在制酒过程中,酒糟的水分是影响白酒品质和口感的重要因素,所以检测酒糟的含水率也是酿酒过程中必要的一环。目前常用的含水率检测方...
2023-11-29
煤粉天然气双用燃烧器|封边机报价|可视化大屏ui设计|十大窗帘品牌加盟|陶瓷加工|天津公墓|光纤准直器|零食货柜|气动扭矩扳手|乙炔炭黑|慈溪律师|U型排水沟|氟离子测定仪|深圳标志设计|家庭下水道疏通|耶格尔|高速滚齿机||增深剂|60HZ变频电源|亚朵酒店加盟|高压陶瓷电容|双备份集成电源|不锈钢复合板厂家|弧形铝方通|牟平白麻|AVX代理|篷盖布涂层机|嘉兴专利申请|奉化漂流有哪些|工业卷材| 江阴心理咨询|高尔夫模拟器|可燃气体报警器|自动平衡|内衬不锈钢复合钢管|美国试管|陕西移动厕所|AVX钽电容|农林保水剂||卸船机|净化公司|精装修工程地板|打桩木|橡塑保温|铝压铸|弱视治疗哪里好|吸音隔音涂料|宜昌租车|复合风管|双登胶体蓄电池|碱式氯化铝|俄罗斯GOST认证|缓蚀剂|PCBA清洗|聚氨酯墙面板|OPPC光缆厂家|小区儿童游乐设施|万能式断路器|